歴代宝案第二集 第一三冊 巻一八七



  P7679   P7680   P7681   P7682   P7683   P7684   P7685   P7686

  P7687   P7688   P7689   P7690   P7691   P7692   P7693   P7694

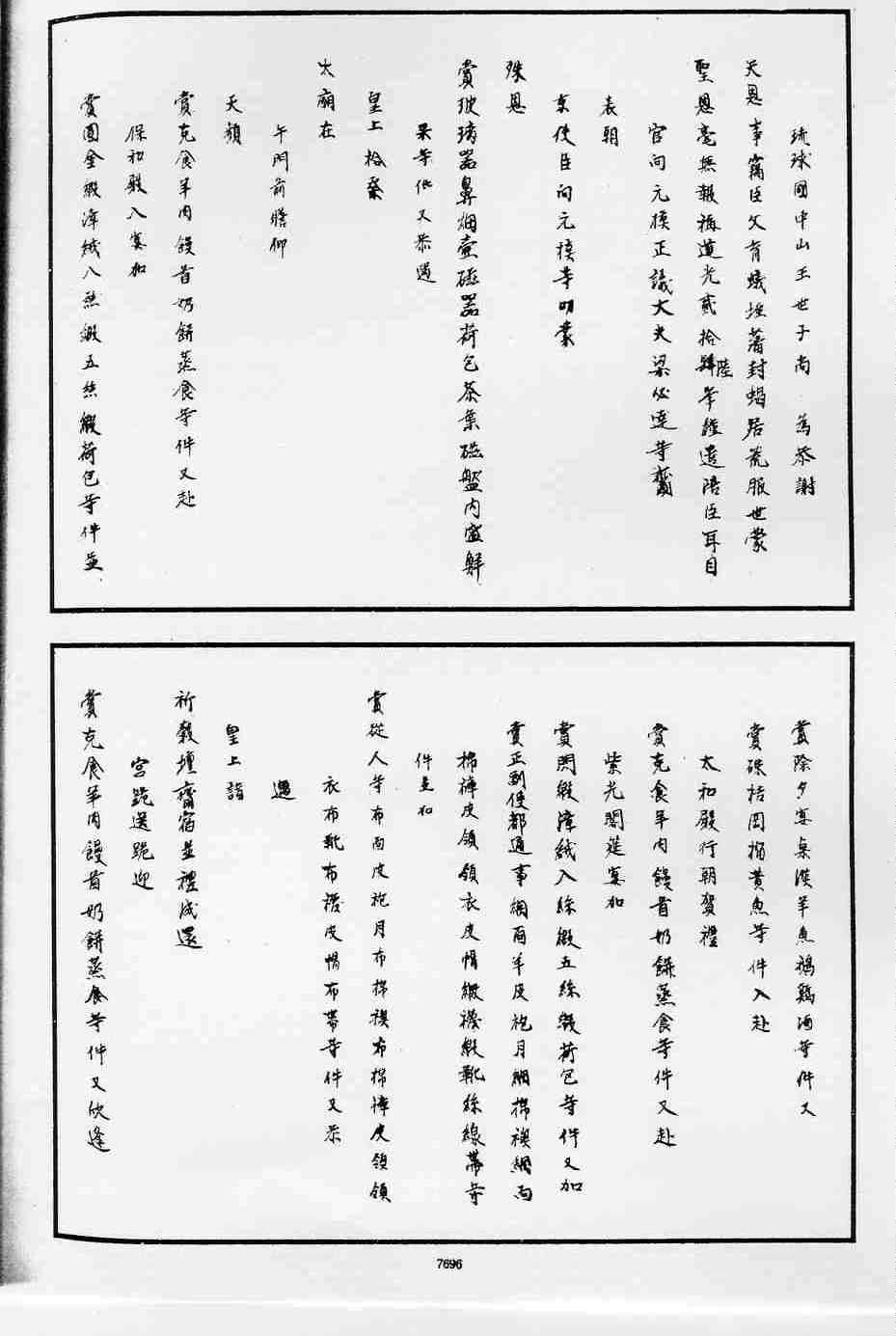
  P7695   P7696   P7697   P7698   P7699   P7700   P7701   P7702

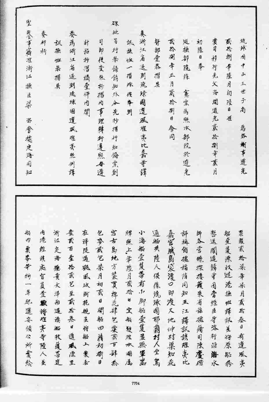
  P7703   P7704   P7705   P7706   P7707   P7708   P7709   P7710

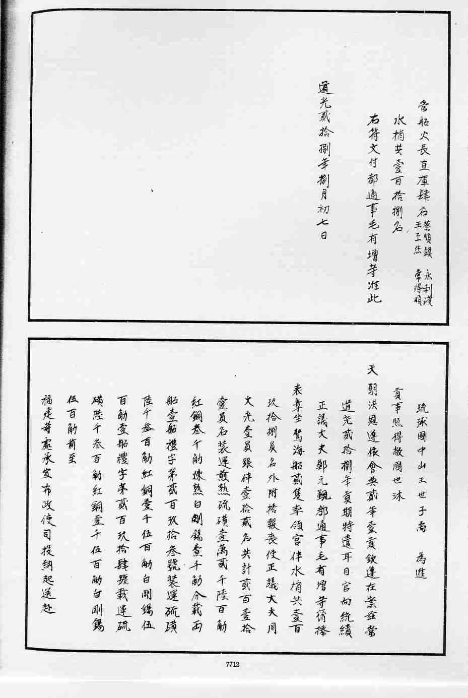
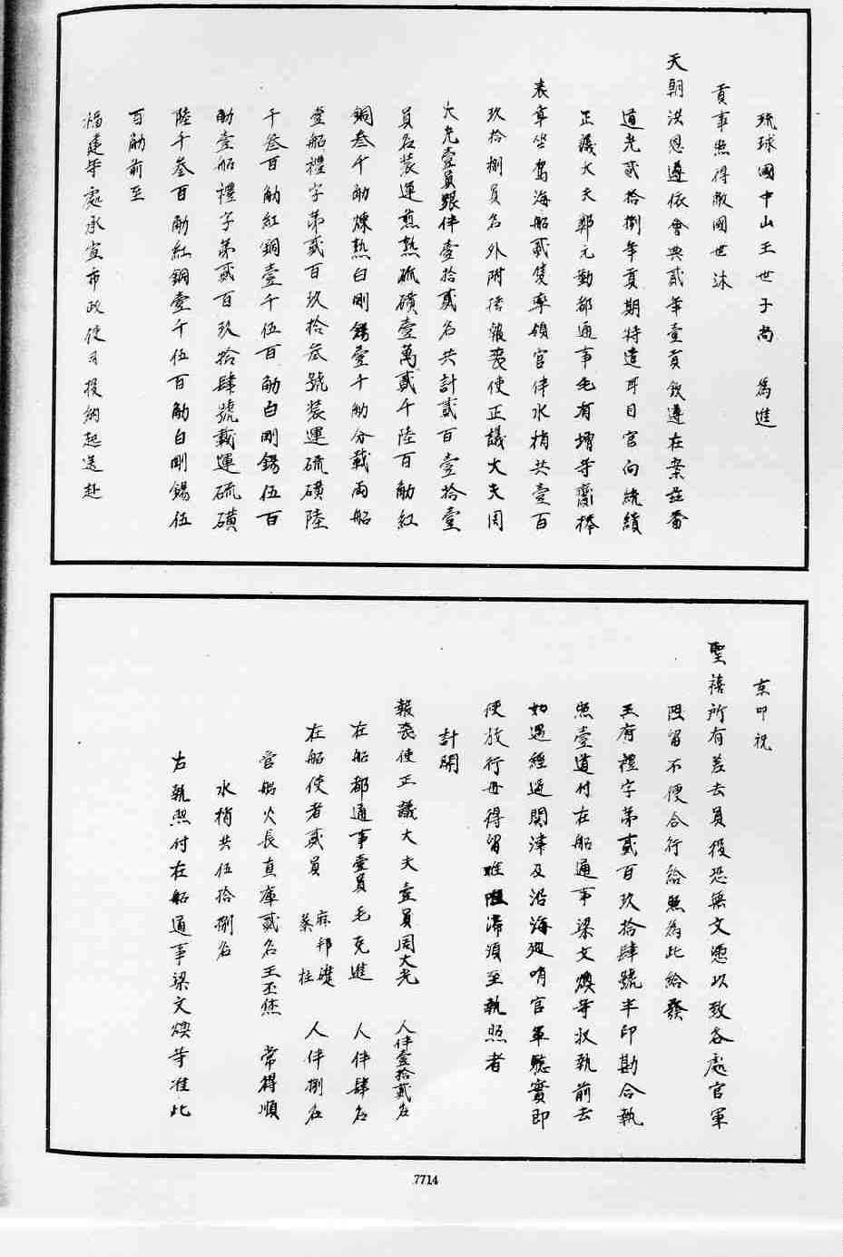
  P7711   P7712   P7713   P7714   P7715   P7716