歴代宝案第二集 第一三冊 巻一八五



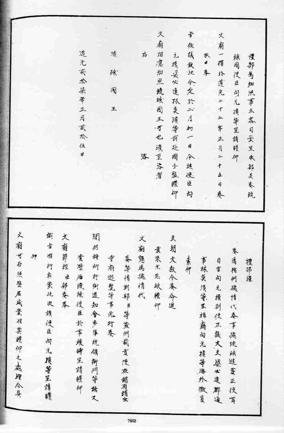
  P7595   P7596   P7597   P7598   P7599   P7600   P7601   P7602

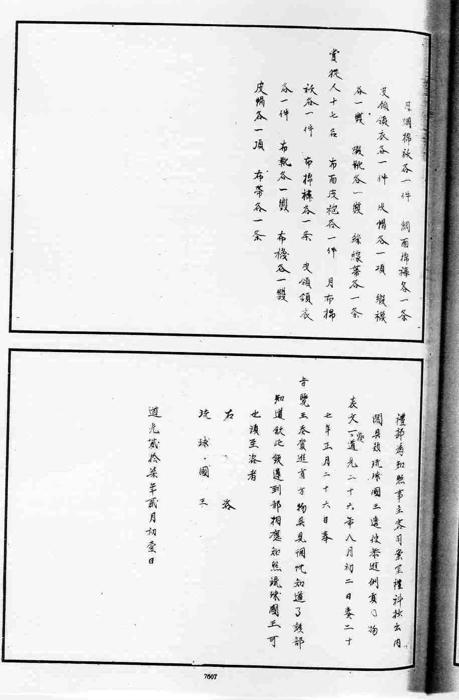
  P7603   P7604   P7605   P7606   P7607   P7608   P7609   P7610

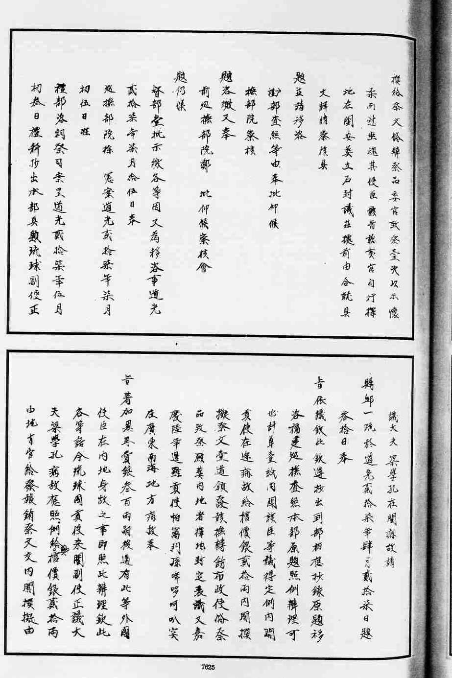
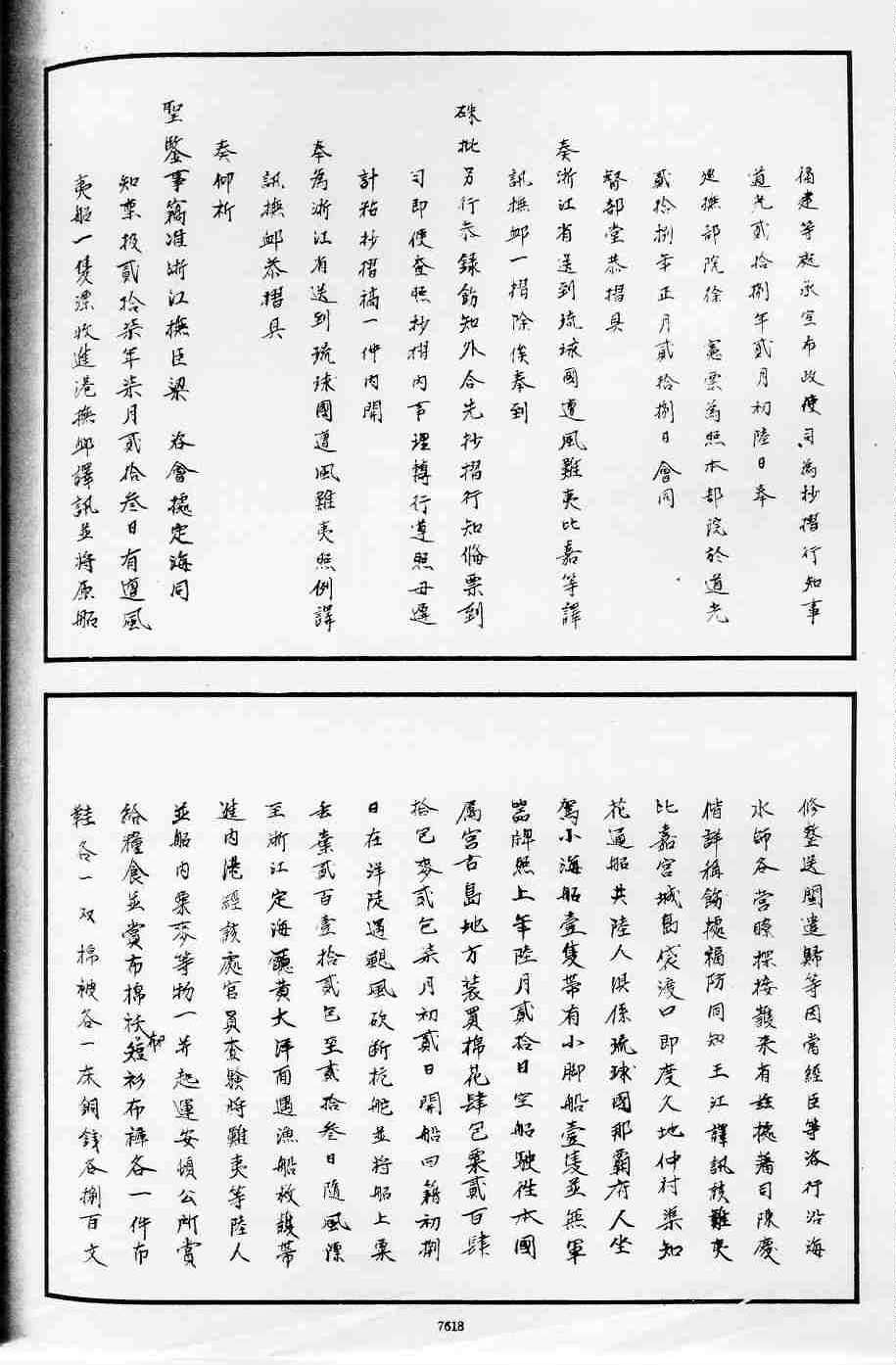
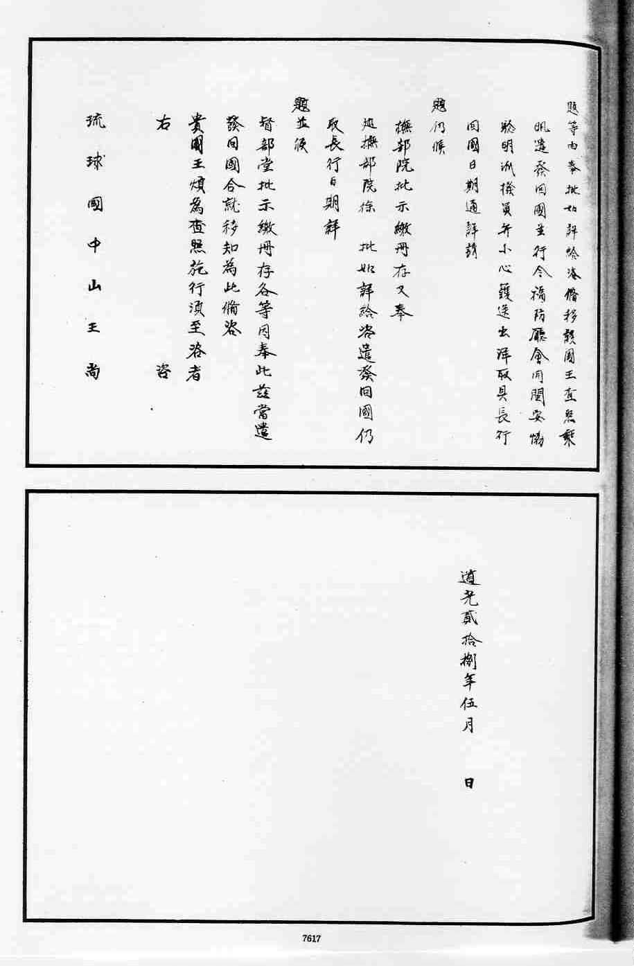
  P7611   P7612   P7613   P7614   P7615   P7616   P7617   P7618

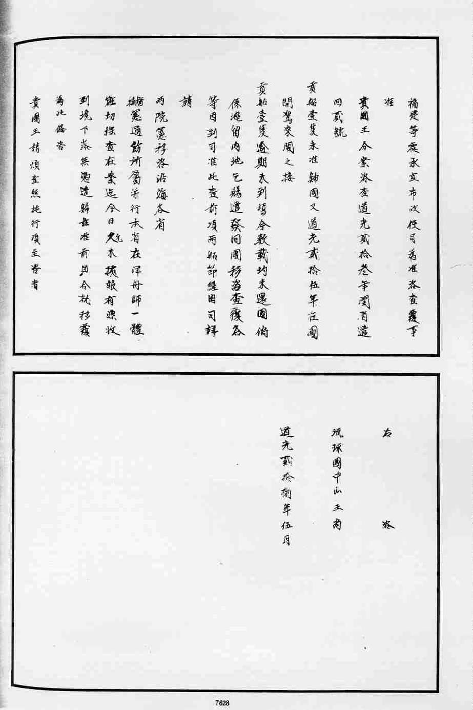
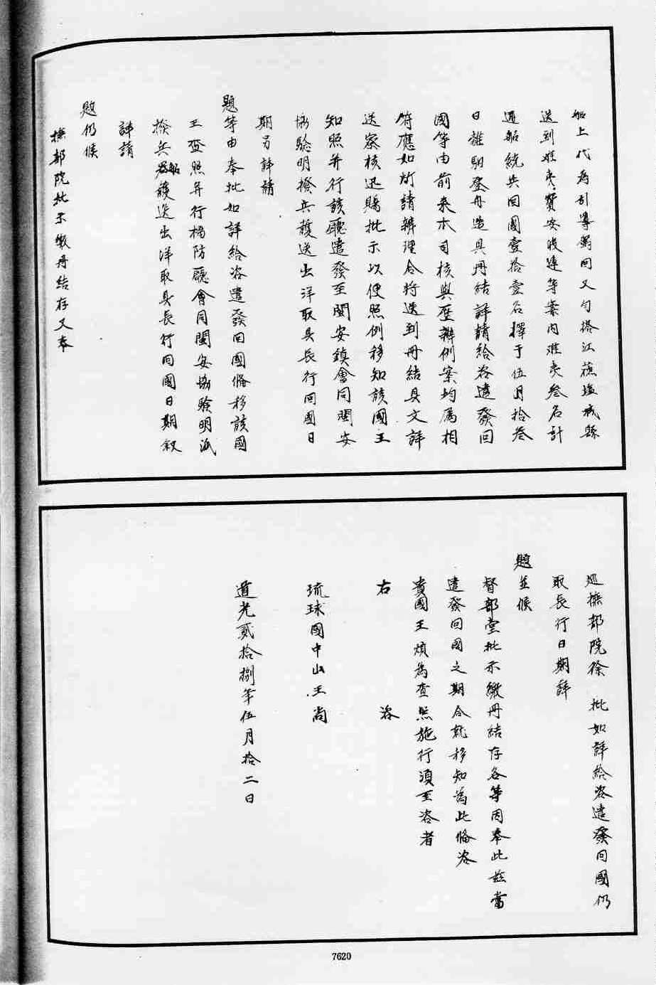
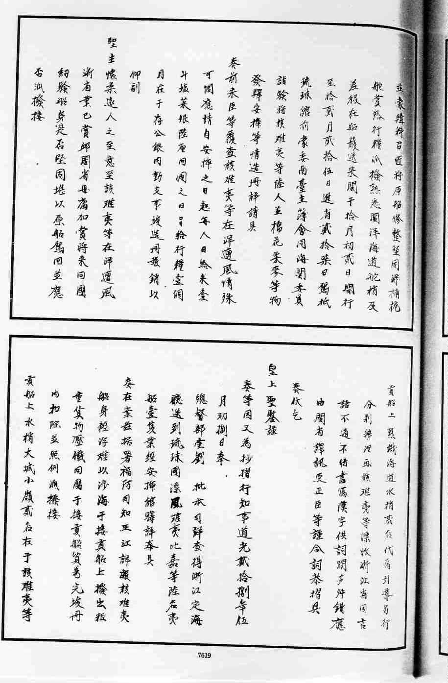
  P7619   P7620   P7621   P7622   P7623   P7624   P7625   P7626

  P7627   P7628