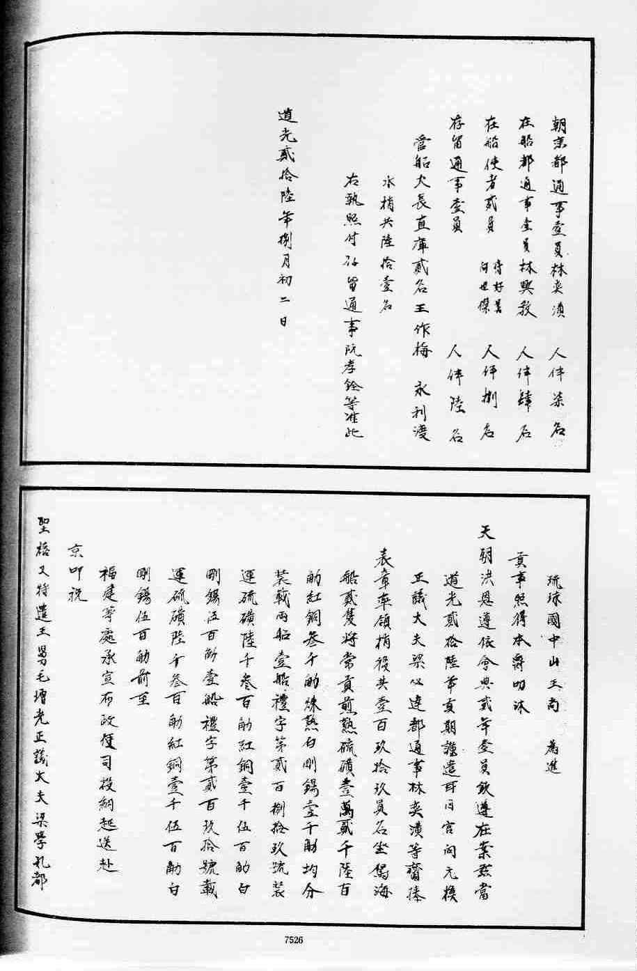
歴代宝案第二集 第一三冊 巻一八二



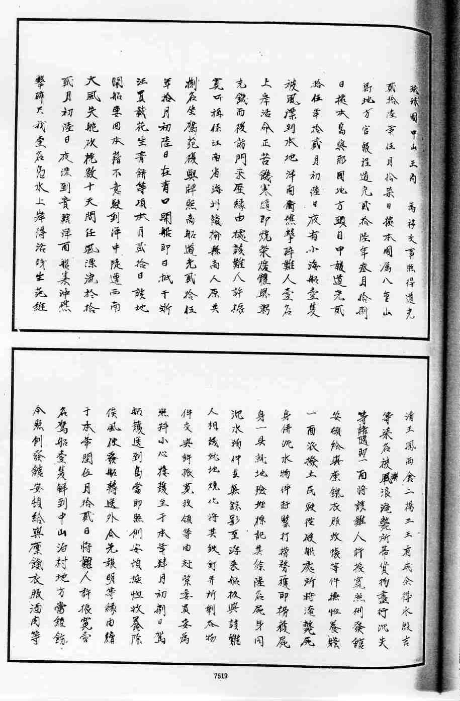
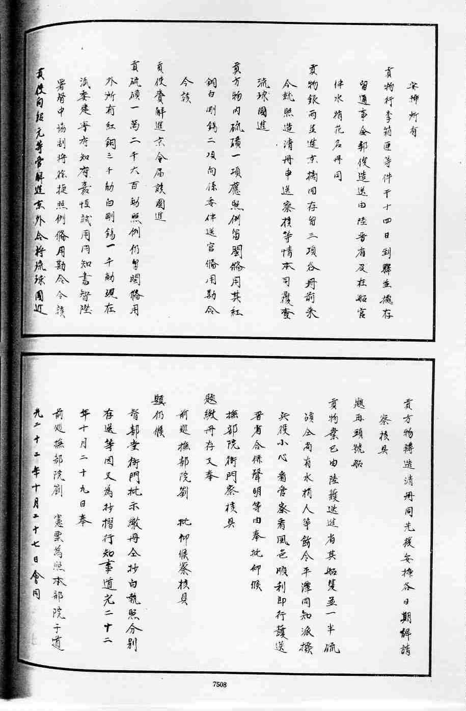
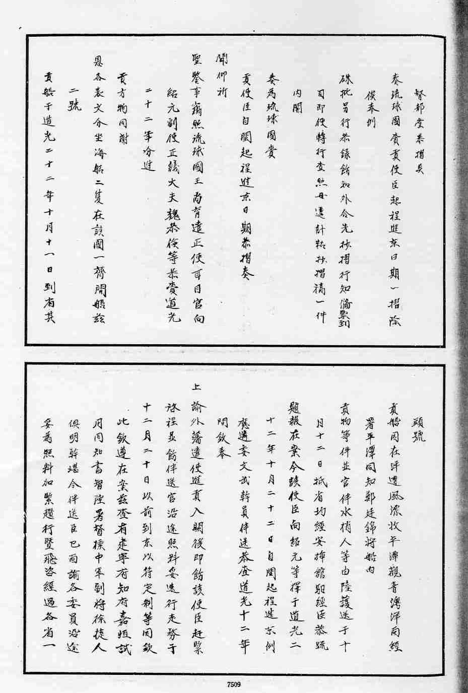
  P7505   P7506   P7507   P7508   P7509   P7510   P7511   P7512

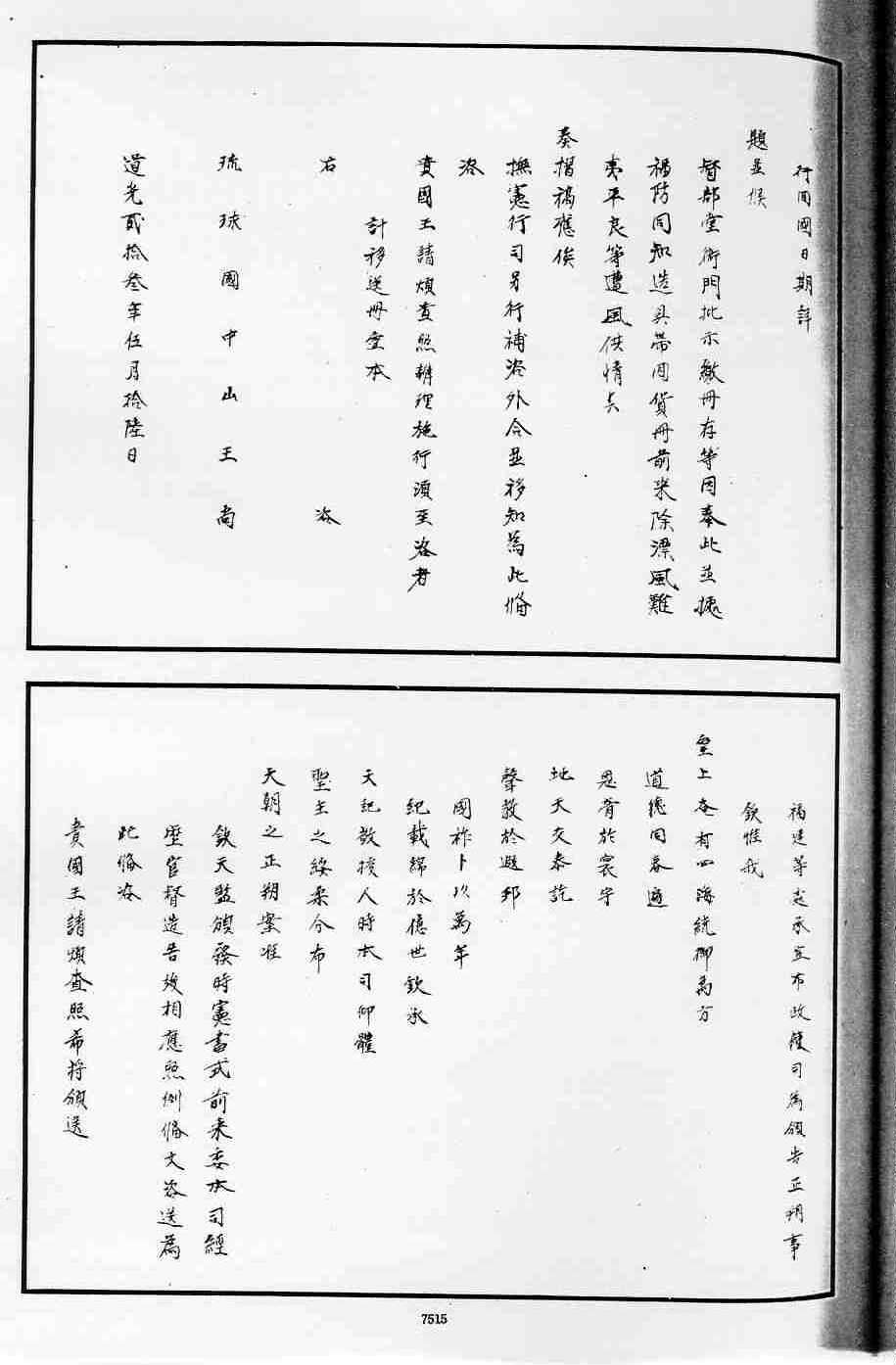
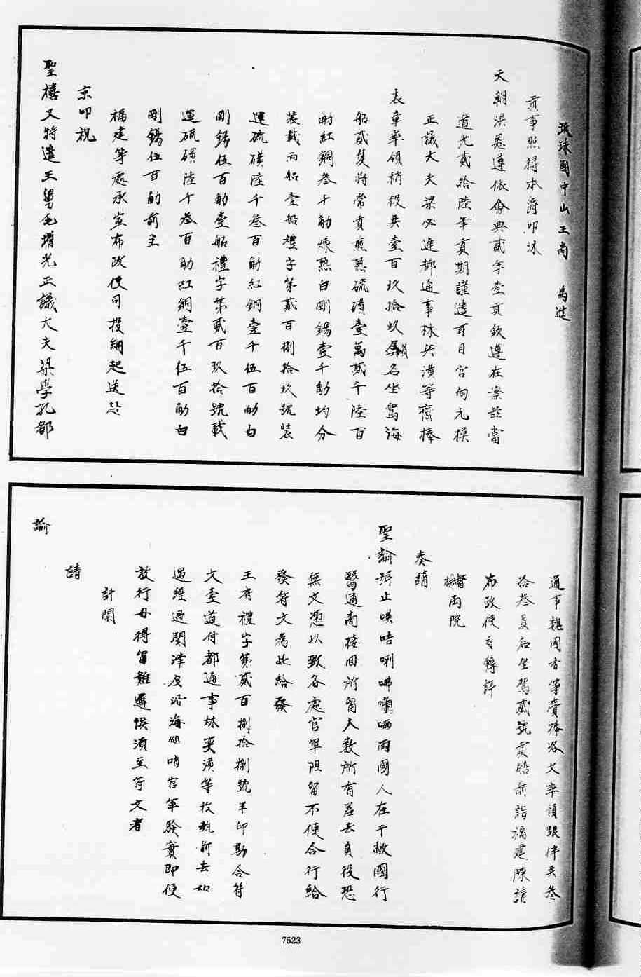
  P7513   P7514   P7515   P7516   P7517   P7518   P7519   P7520

  P7521   P7522   P7523   P7524   P7525   P7526   P7527   P7528