歴代宝案第二集 第一三冊 巻一七四



  P7265   P7266   P7267   P7268   P7269   P7270   P7271   P7272

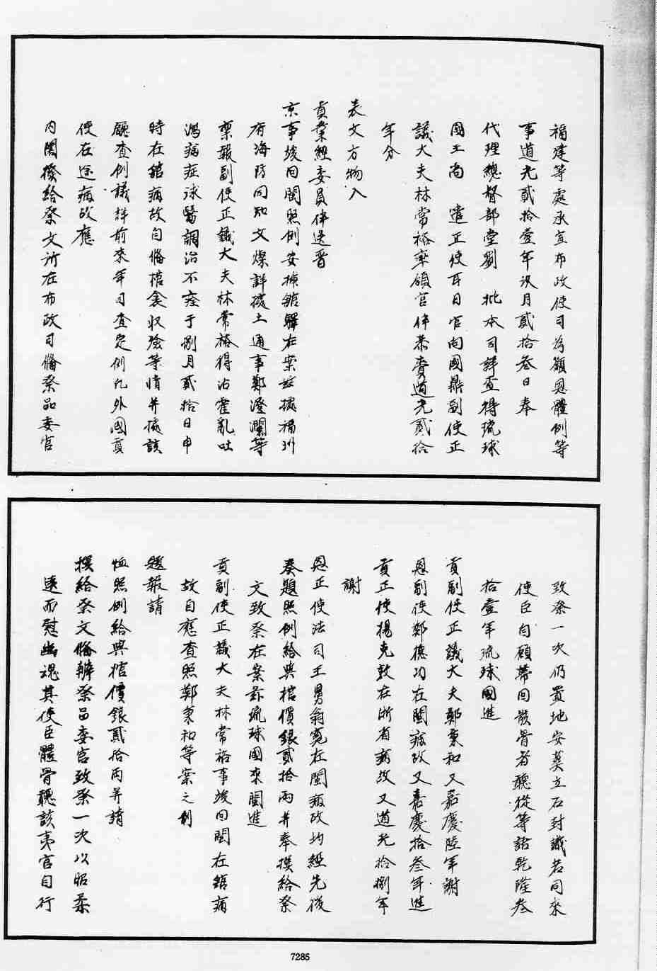
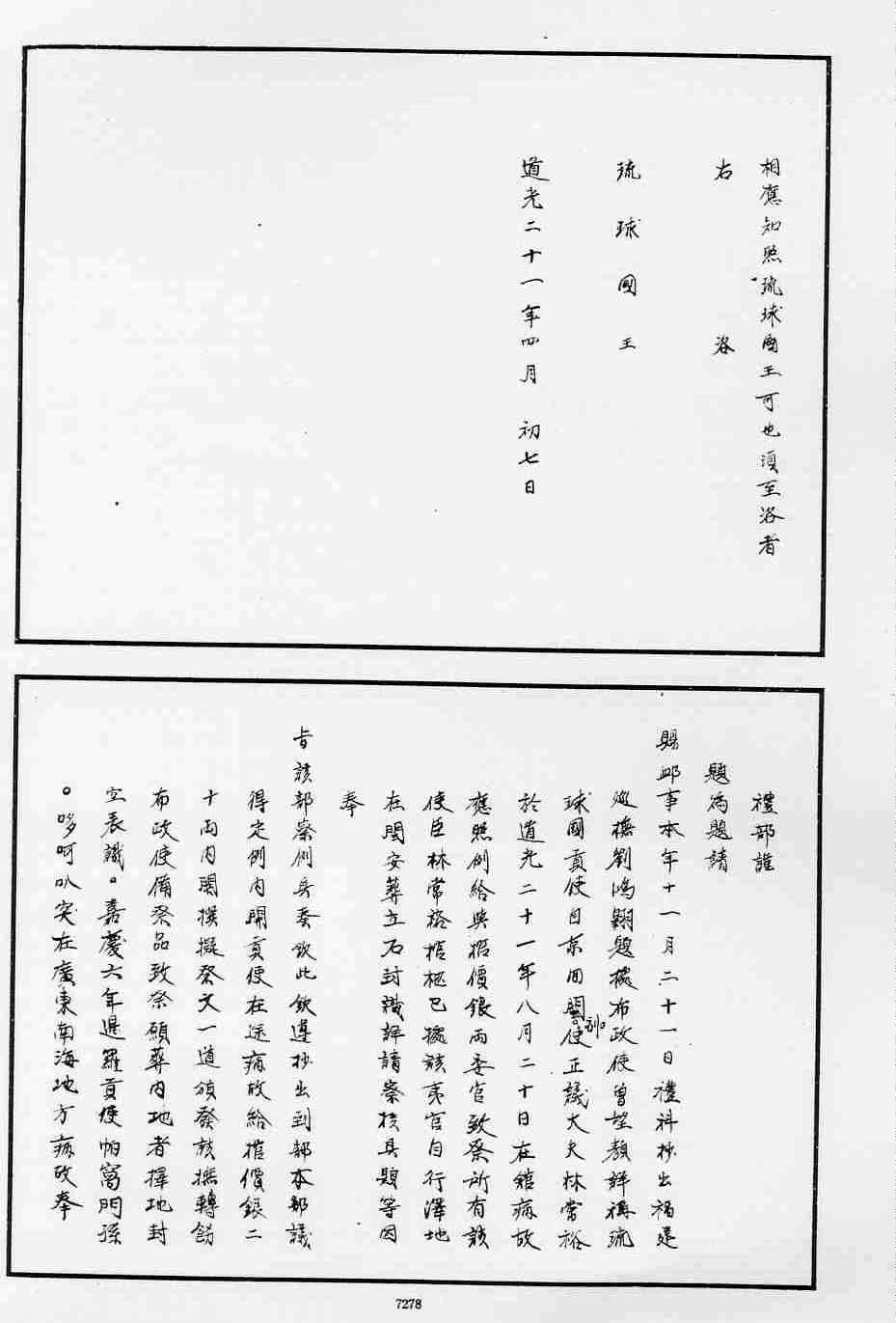
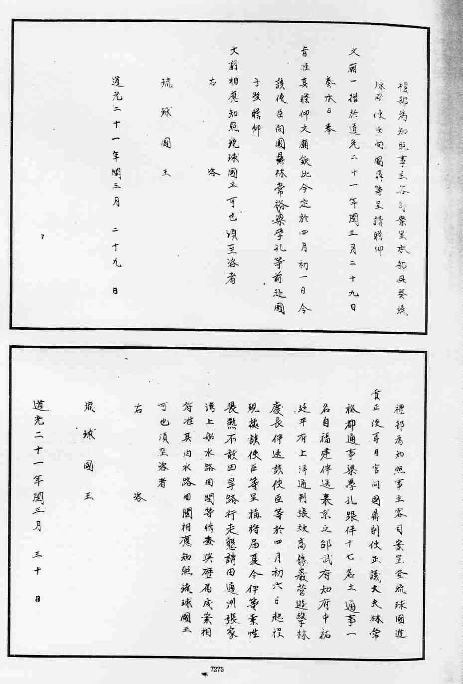
  P7273   P7274   P7275   P7276   P7277   P7278   P7279   P7280

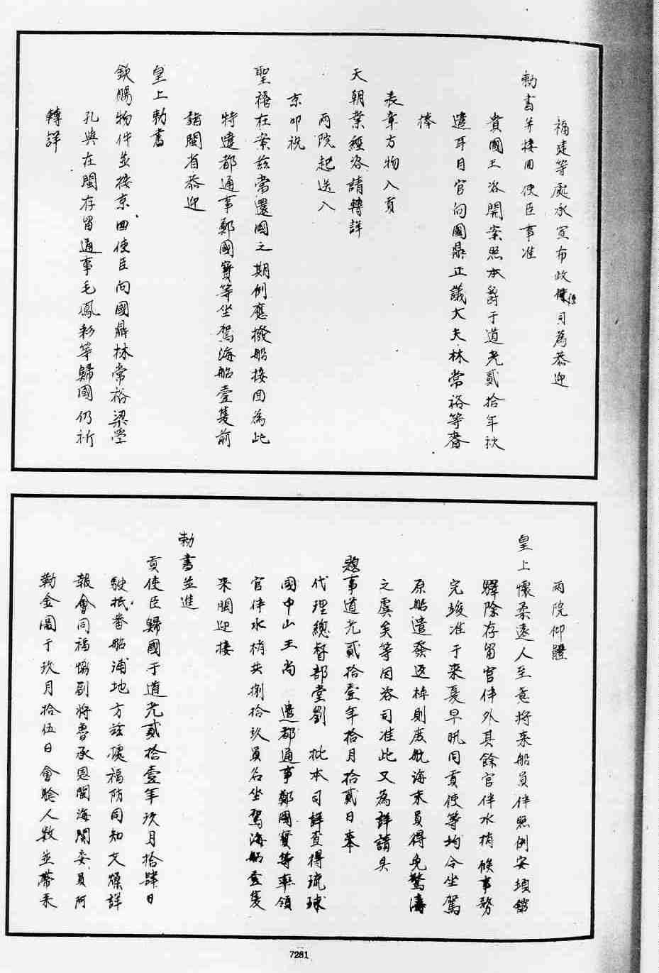
  P7281   P7282   P7283   P7284   P7285   P7286   P7287   P7288

  P7289   P7290   P7291   P7292