歴代宝案第二集 第一二冊 巻一七三



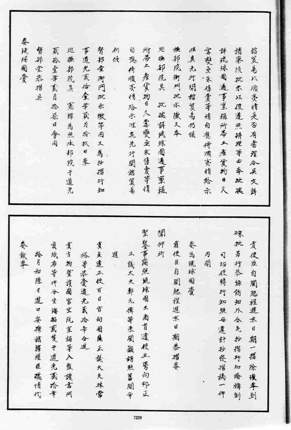
  P7225   P7226   P7227   P7228   P7229   P7230   P7231   P7232

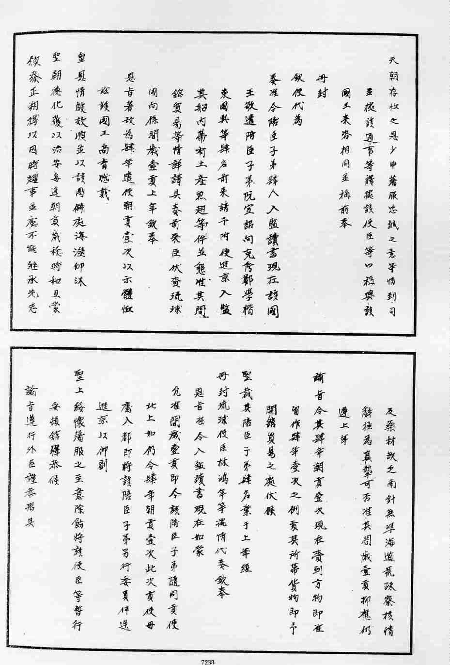
  P7233   P7234   P7235   P7236   P7237   P7238   P7239   P7240

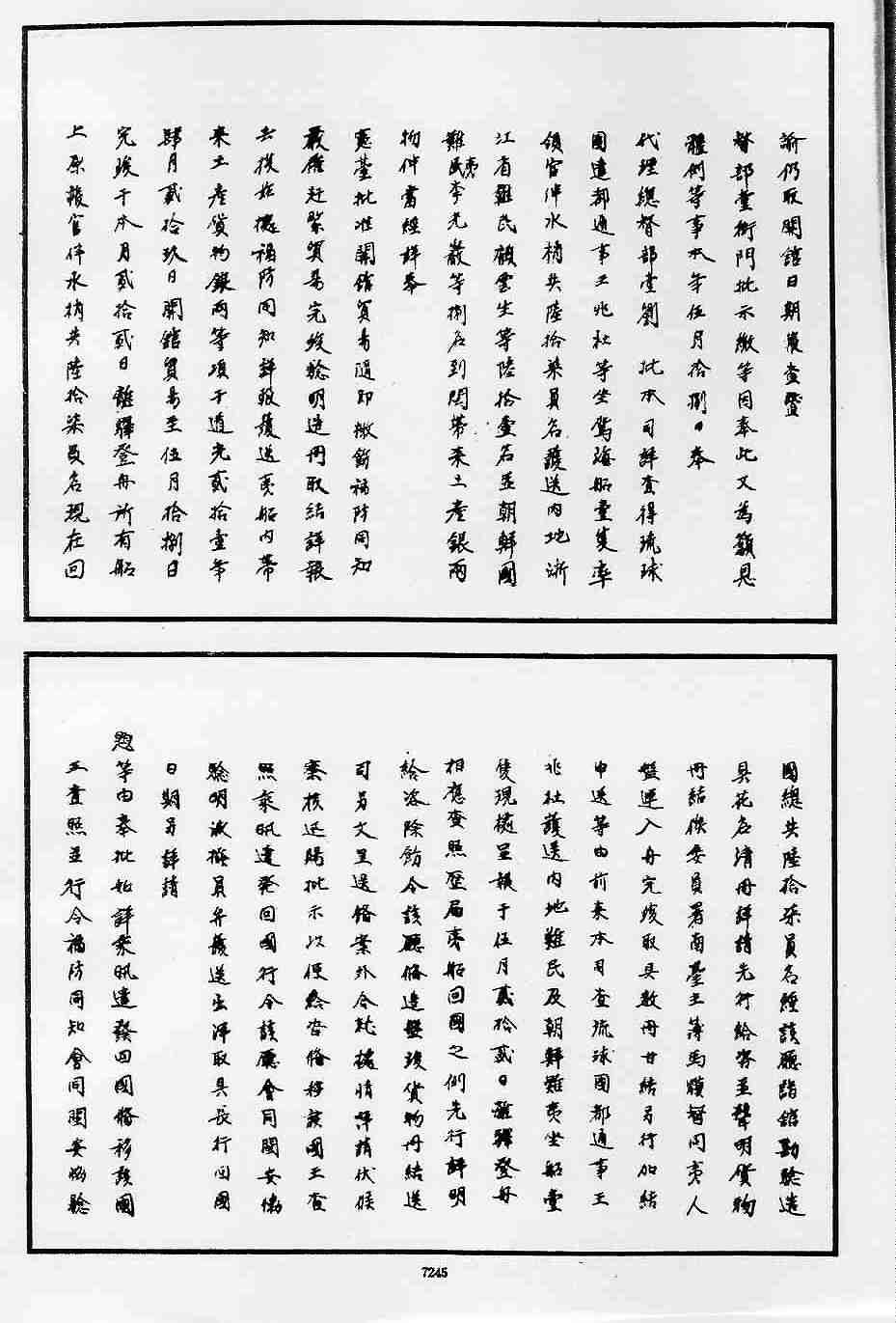
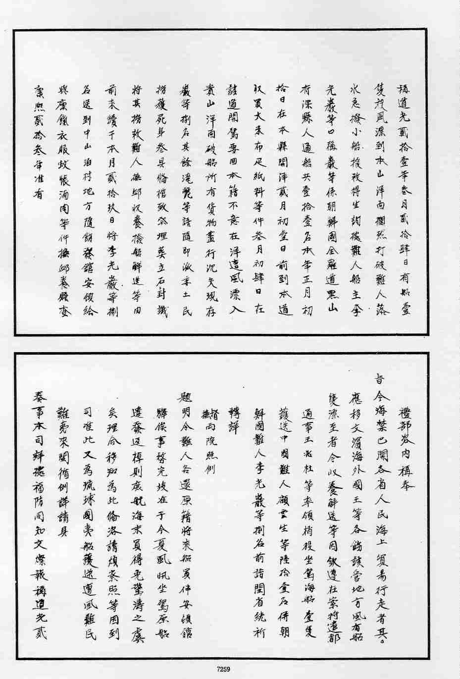
  P7241   P7242   P7243   P7244   P7245   P7246   P7247   P7248

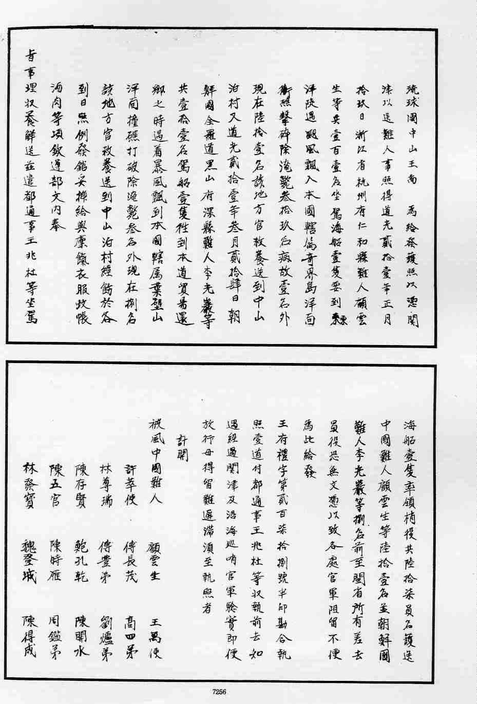
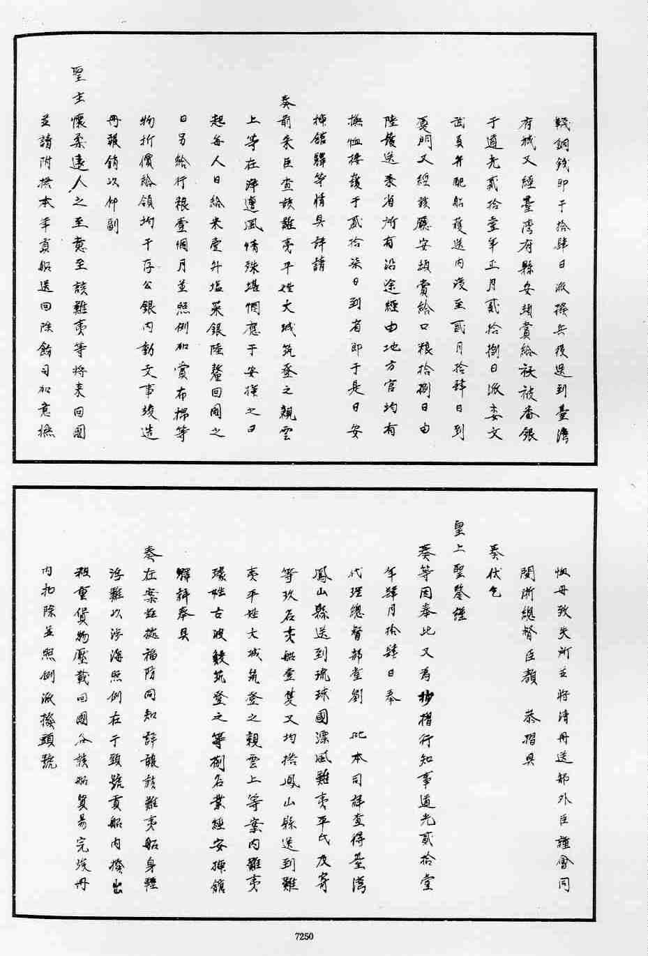
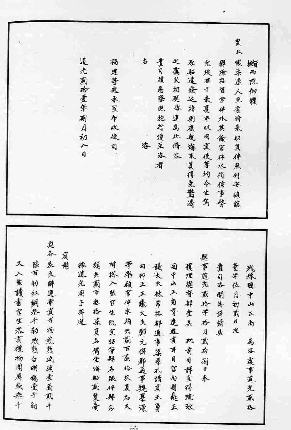
  P7249   P7250   P7251   P7252   P7253   P7254   P7255   P7256

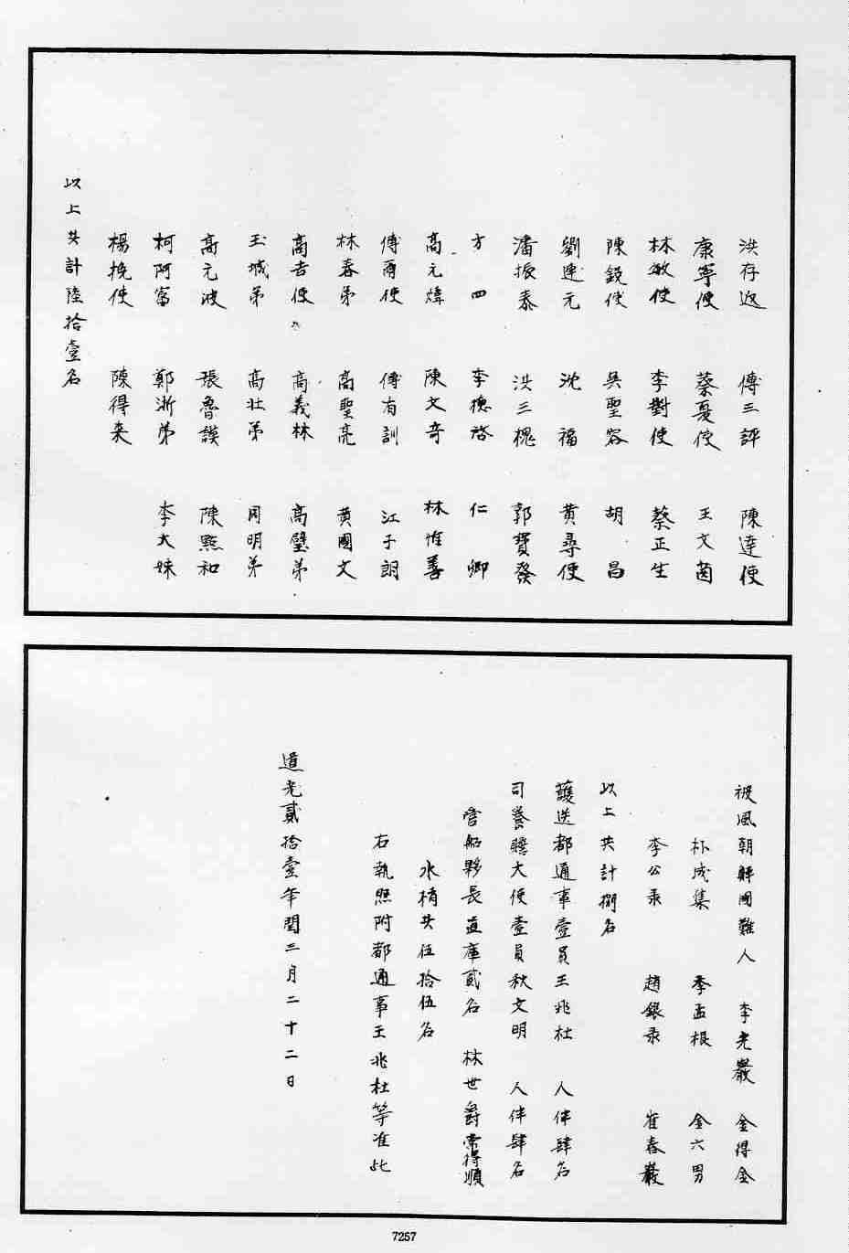
  P7257   P7258   P7259   P7260   P7261   P7262   P7263   P7264