歴代宝案第二集 第一二冊 巻一七二



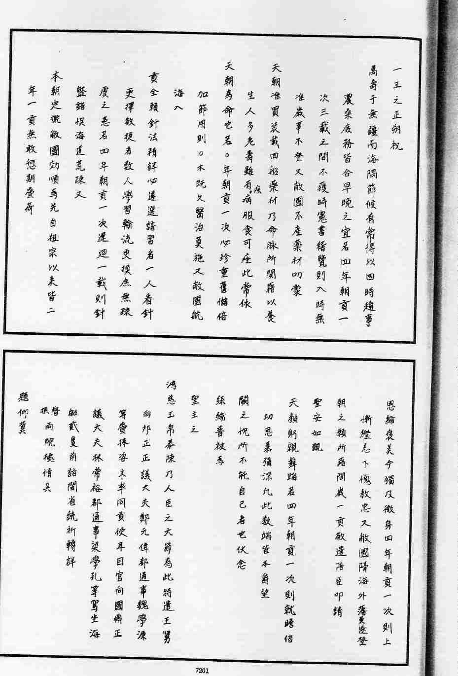
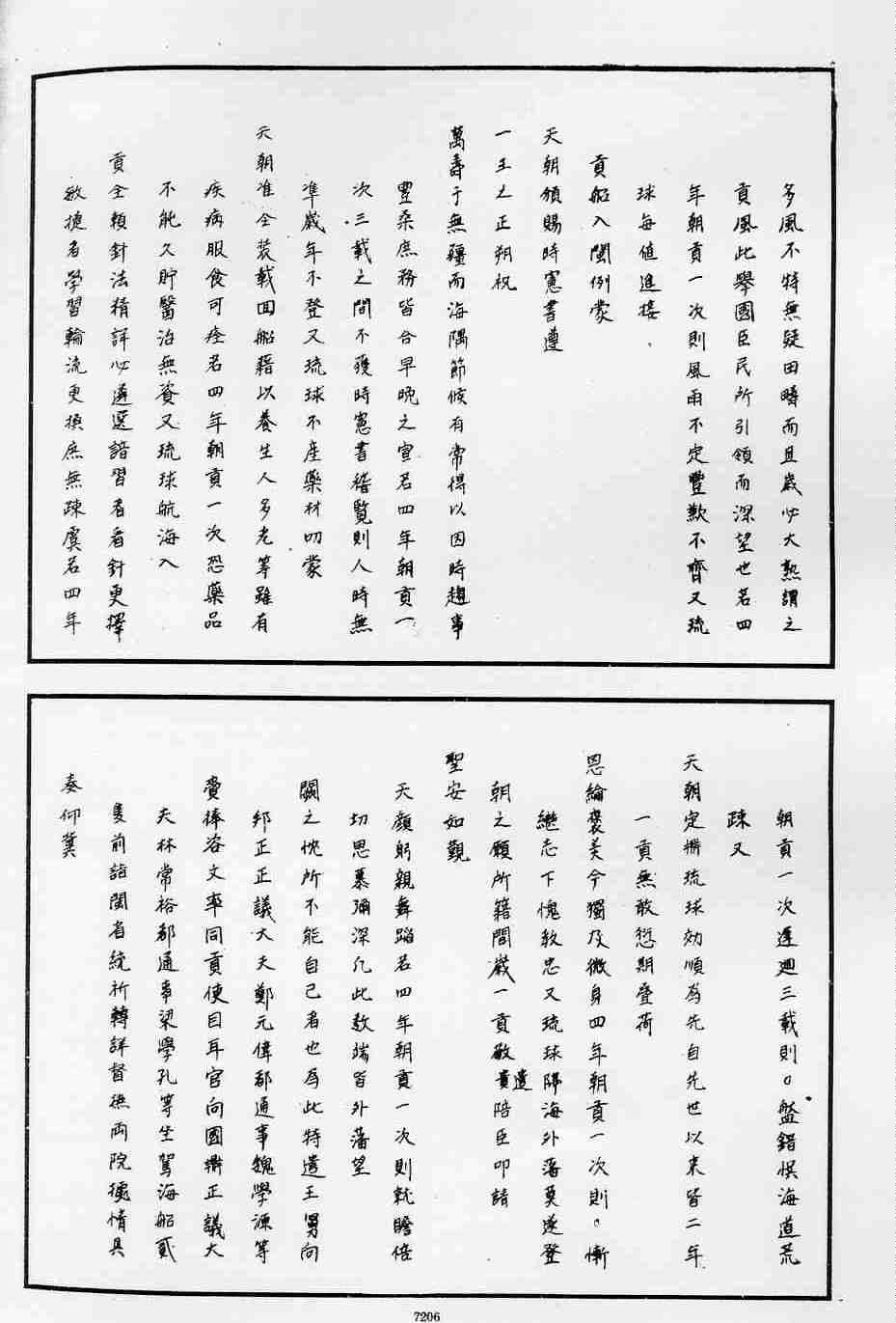
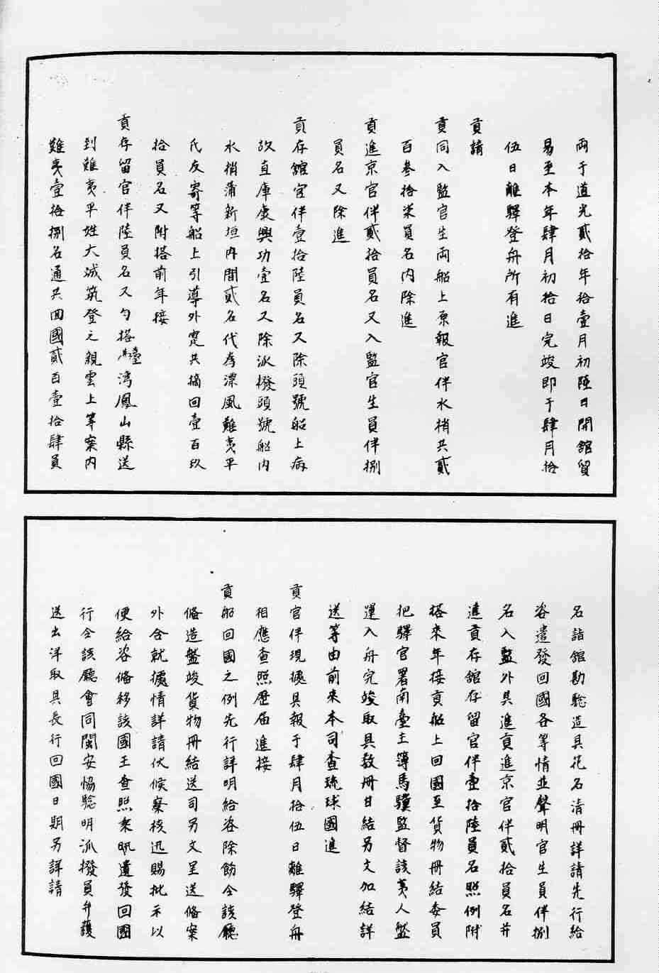
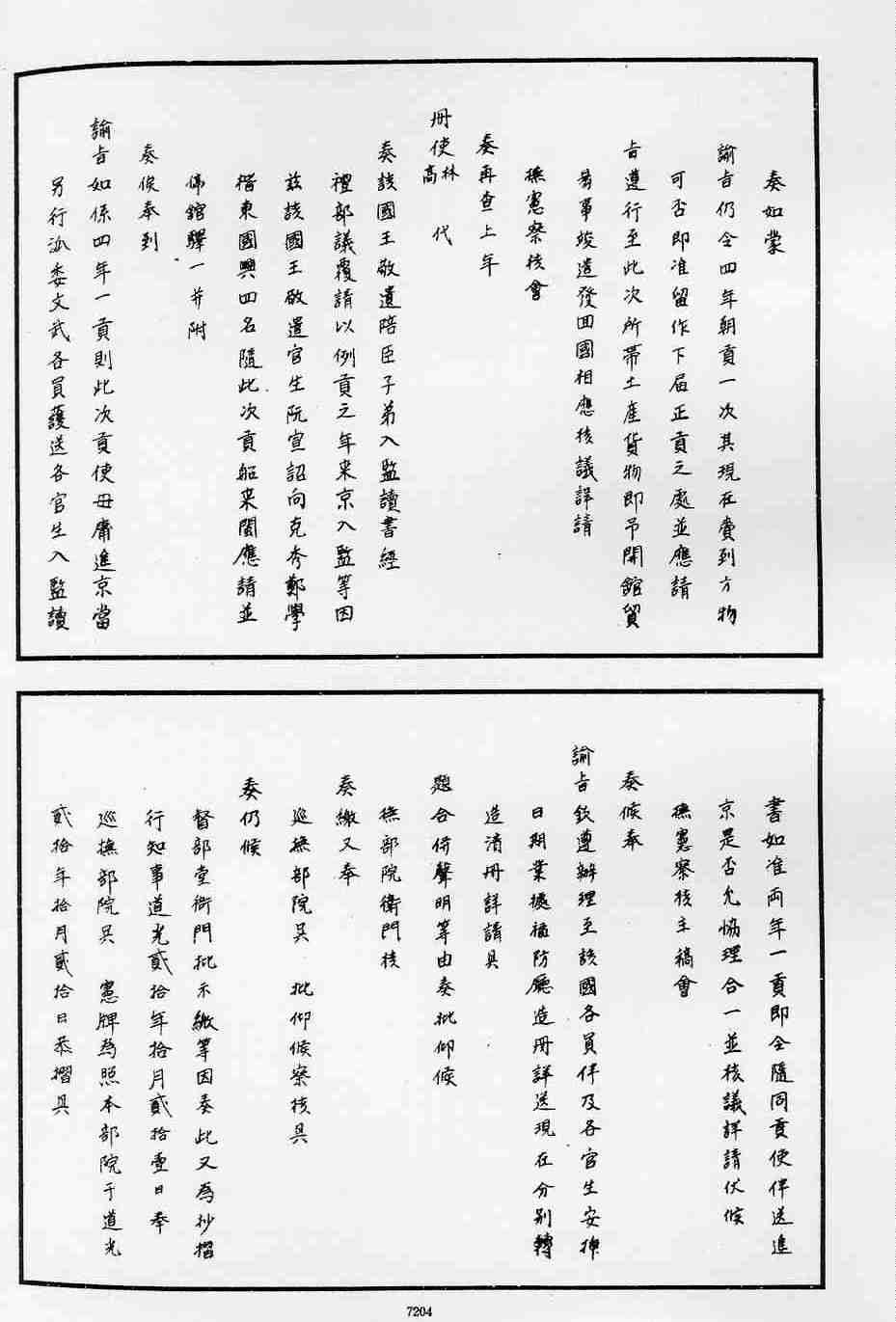
  P7199   P7200   P7201   P7202   P7203   P7204   P7205   P7206

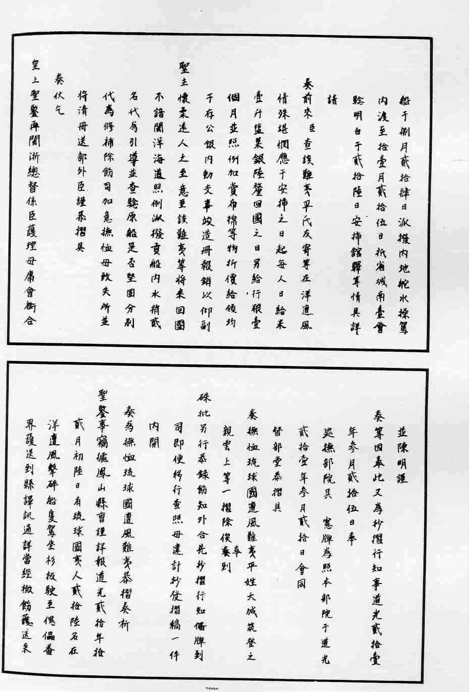
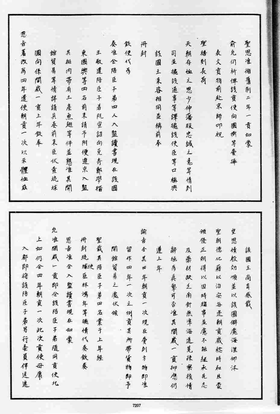
  P7207   P7208   P7209   P7210   P7211   P7212   P7213   P7214

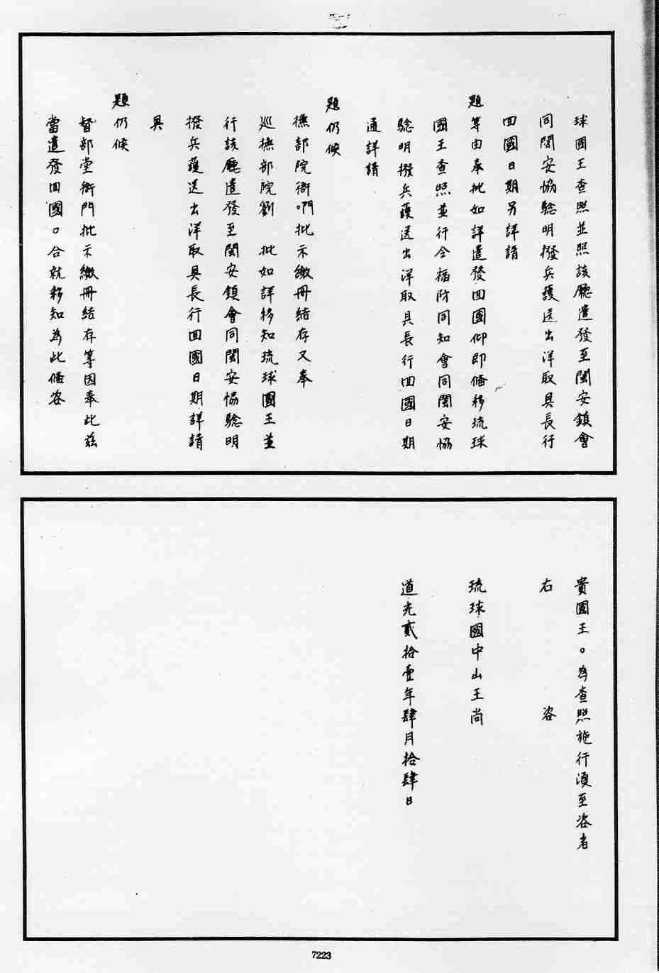
  P7215   P7216   P7217   P7218   P7219   P7220   P7221   P7222

  P7223   P7224