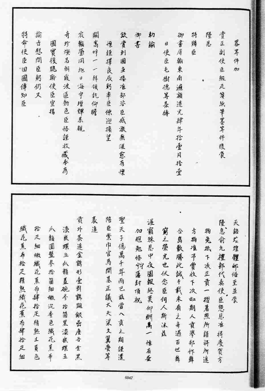
歴代宝案第二集 第一0冊 巻一四五



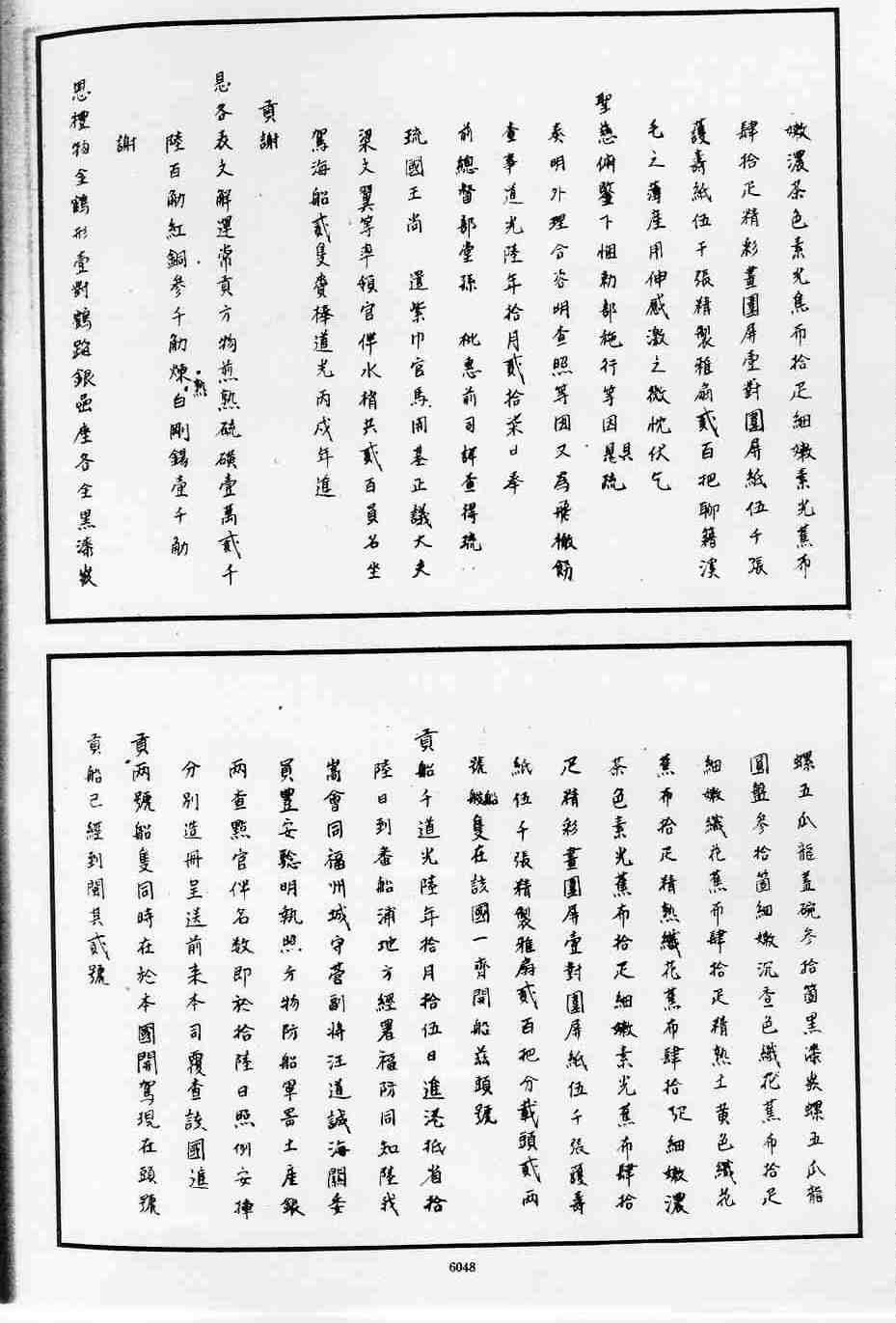
  P6043   P6044   P6045   P6046   P6047   P6048   P6049   P6050

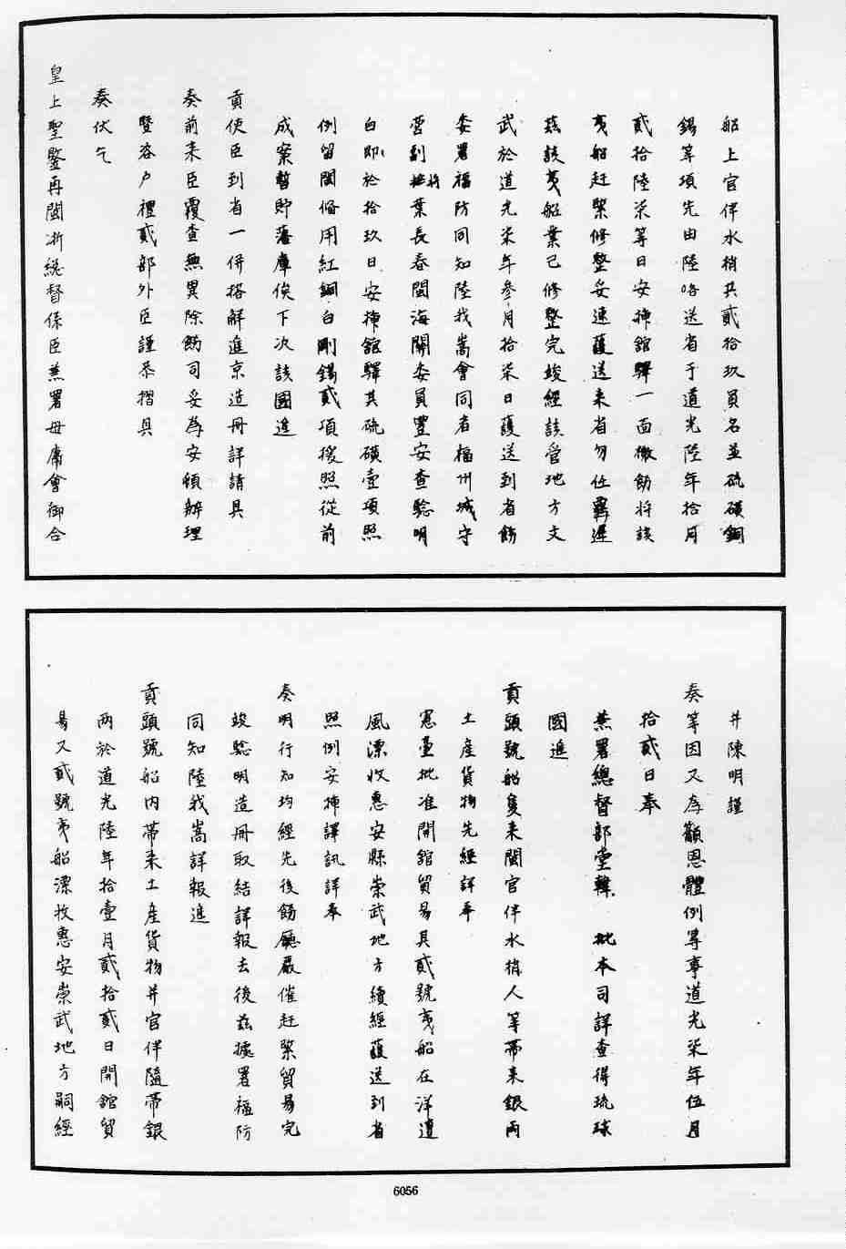
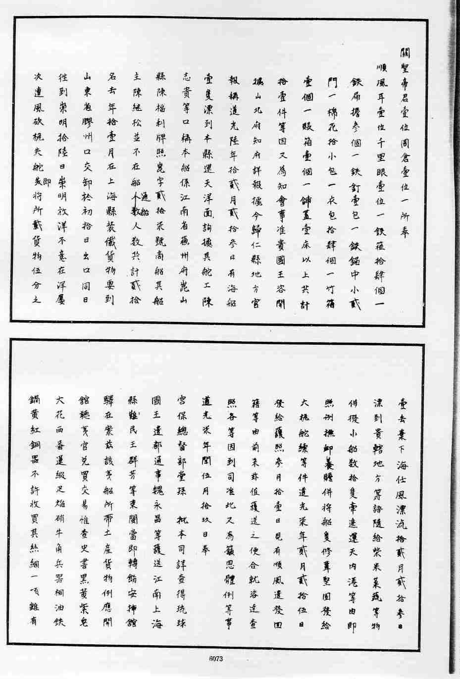
  P6051   P6052   P6053   P6054   P6055   P6056   P6057   P6058

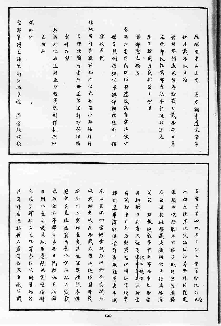
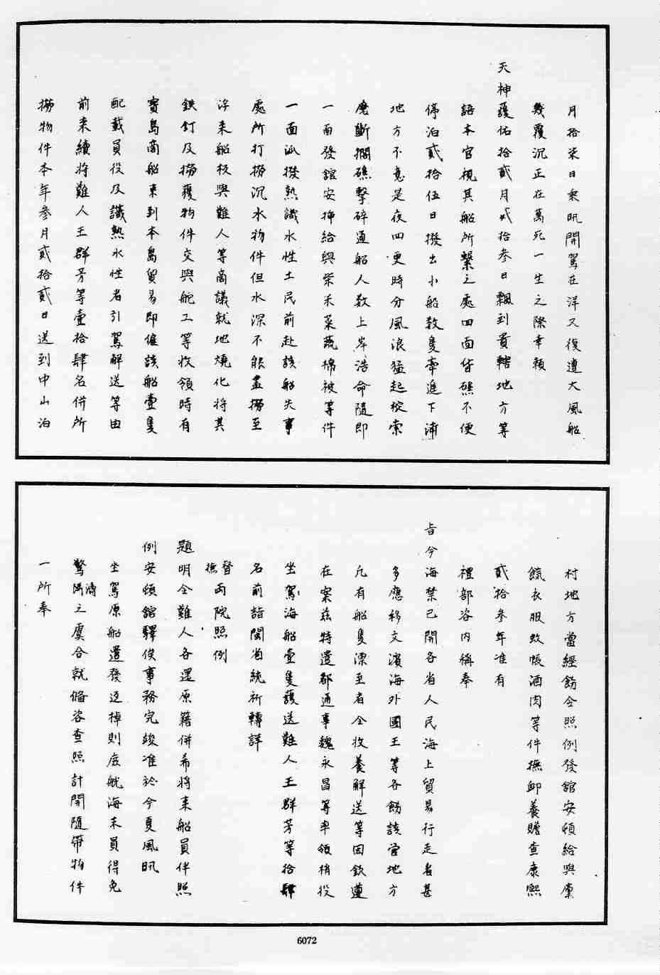
  P6059   P6060   P6061   P6062   P6063   P6064   P6065   P6066

  P6067   P6068   P6069   P6070   P6071   P6072   P6073   P6074

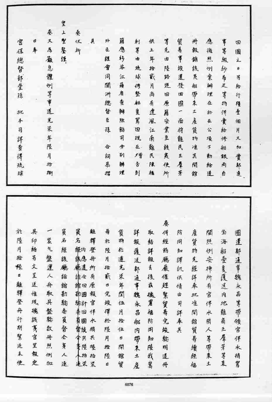
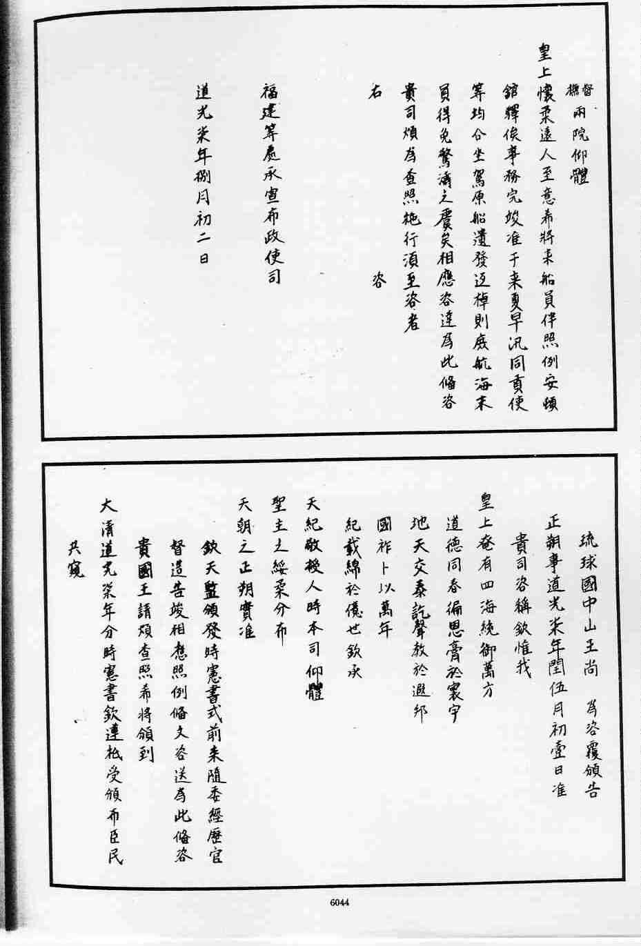
  P6075   P6076   P6077   P6078   P6079   P6080