歴代宝案第二集 第一0冊 巻一三三



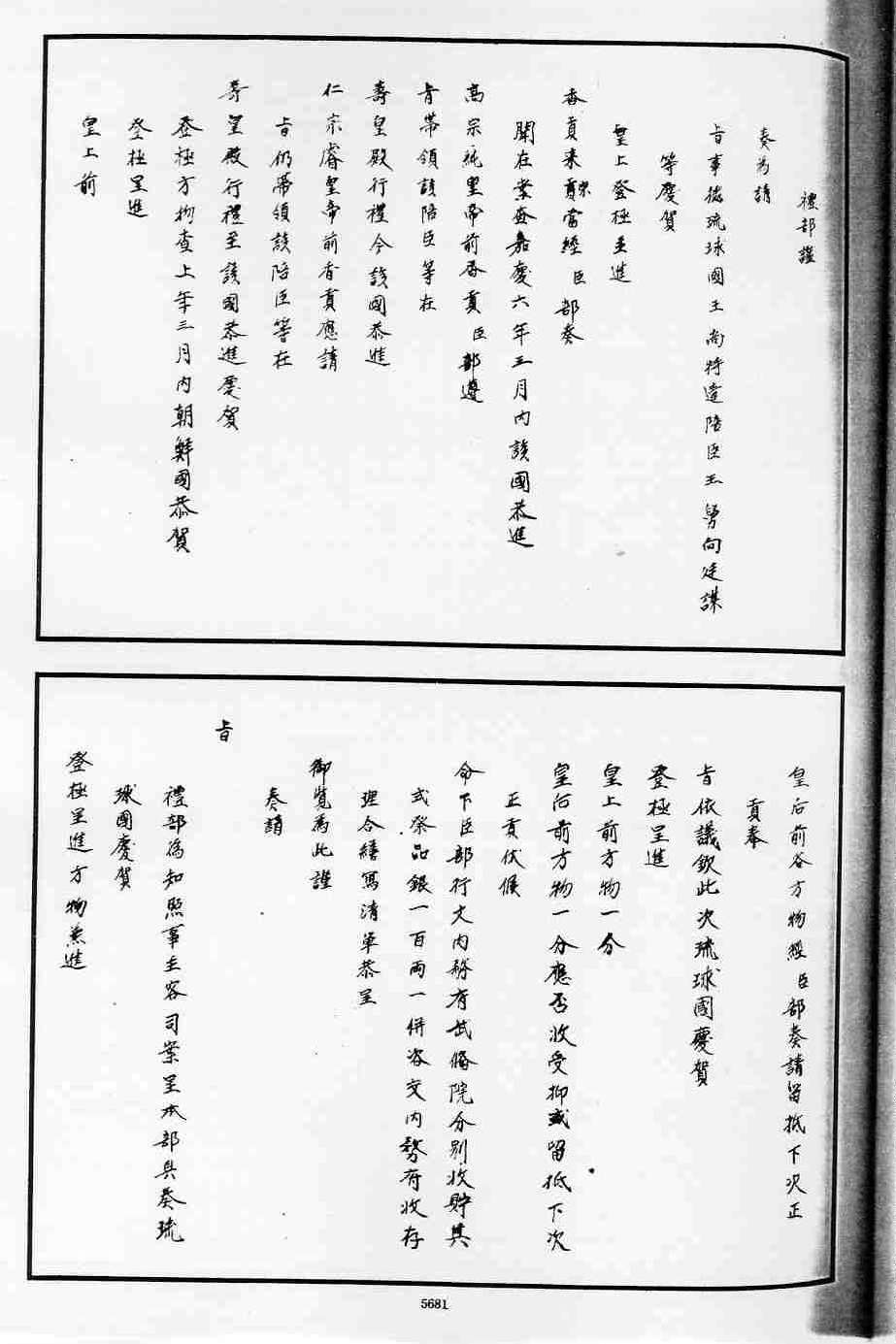
  P5675   P5676   P5677   P5678   P5679   P5680   P5681   P5682

  P5683   P5684   P5685   P5686   P5687   P5688   P5689   P5690

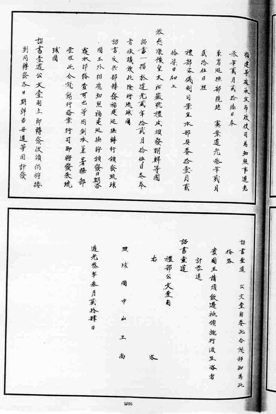
  P5691   P5692   P5693   P5694   P5695   P5696   P5697   P5698

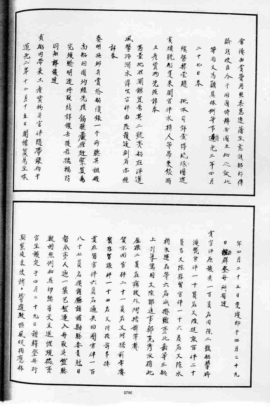
  P5699   P5700   P5701   P5702   P5703   P5704   P5705   P5706

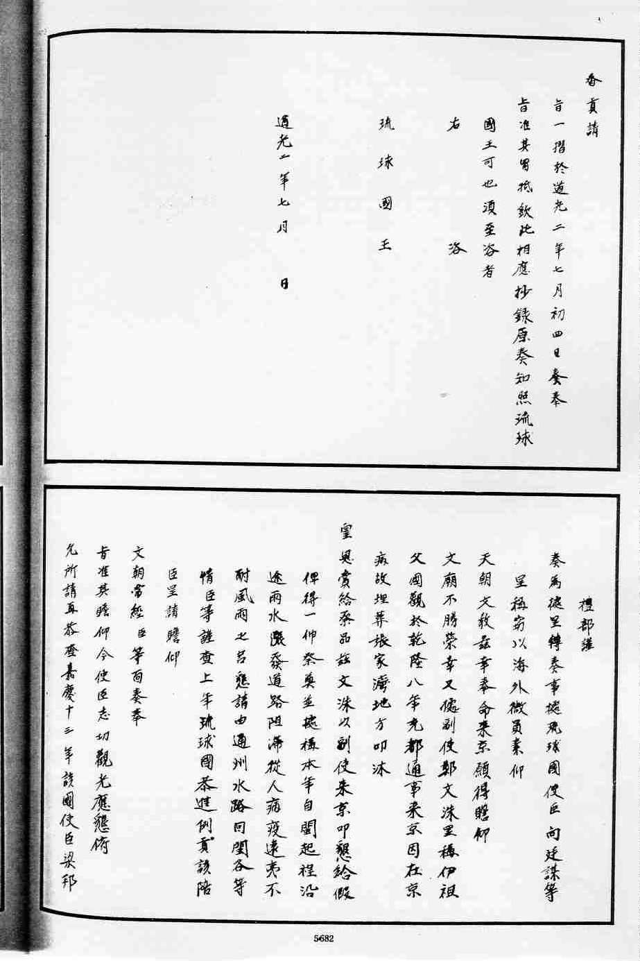
  P5707   P5708