歴代宝案第二集 第八冊 巻一00



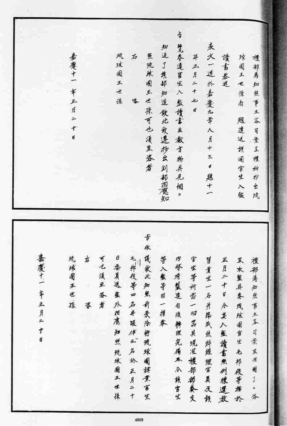
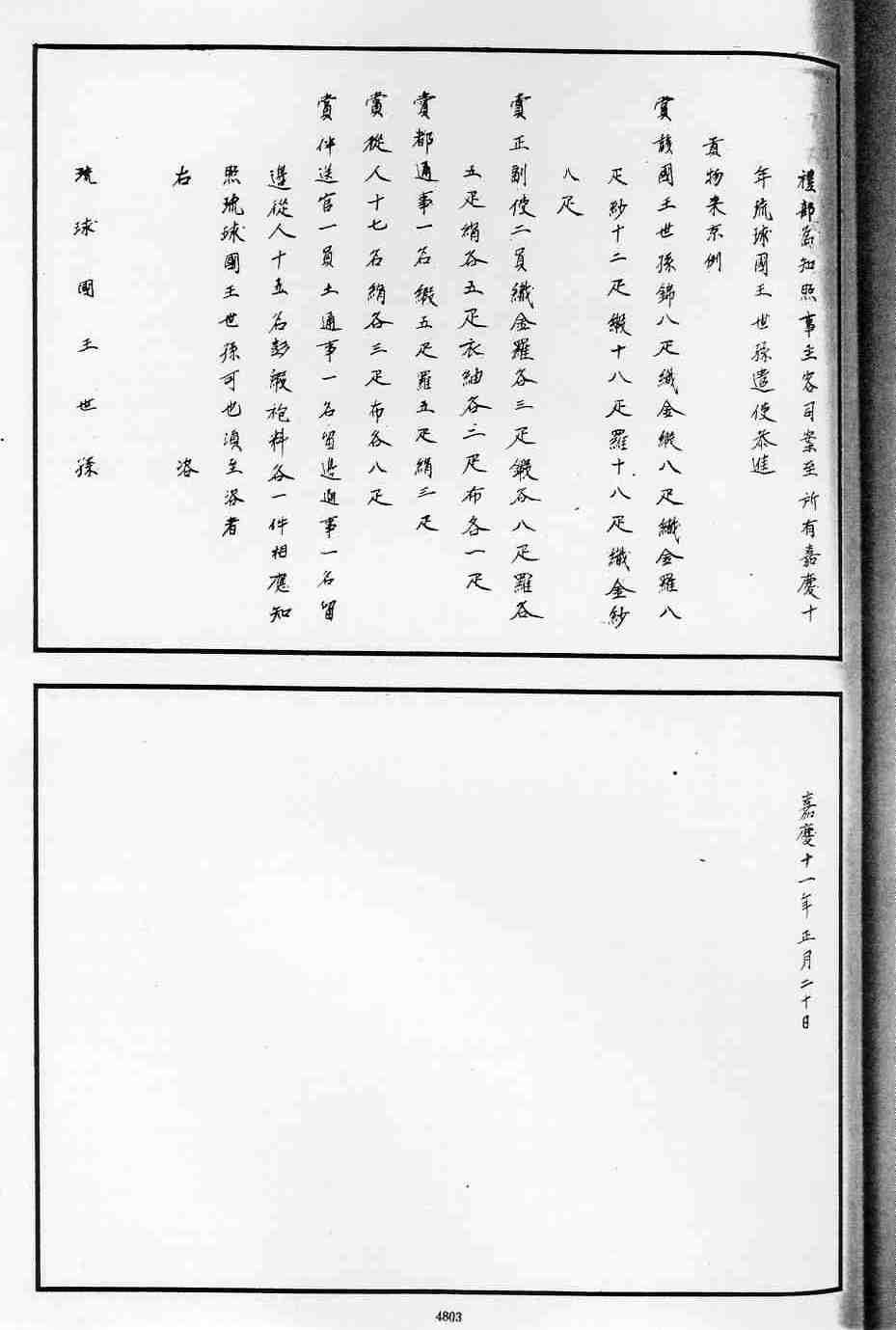
  P4799   P4800   P4801   P4802   P4803   P4804   P4805   P4806

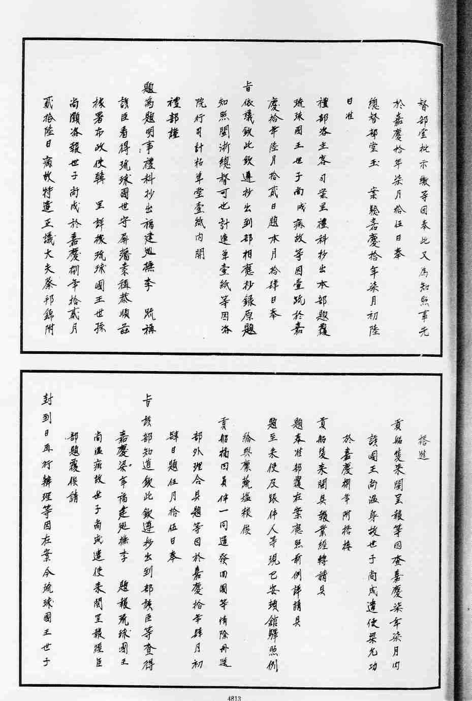
  P4807   P4808   P4809   P4810   P4811   P4812   P4813   P4814

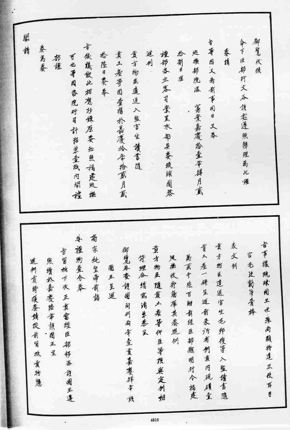
  P4815   P4816   P4817   P4818   P4819   P4820