歴代宝案第一集 第二冊 27



  P0897   P0898   P0899   P0900   P0901   P0902   P0903   P0904

  P0905   P0906   P0907   P0908   P0909   P0910   P0911   P0912

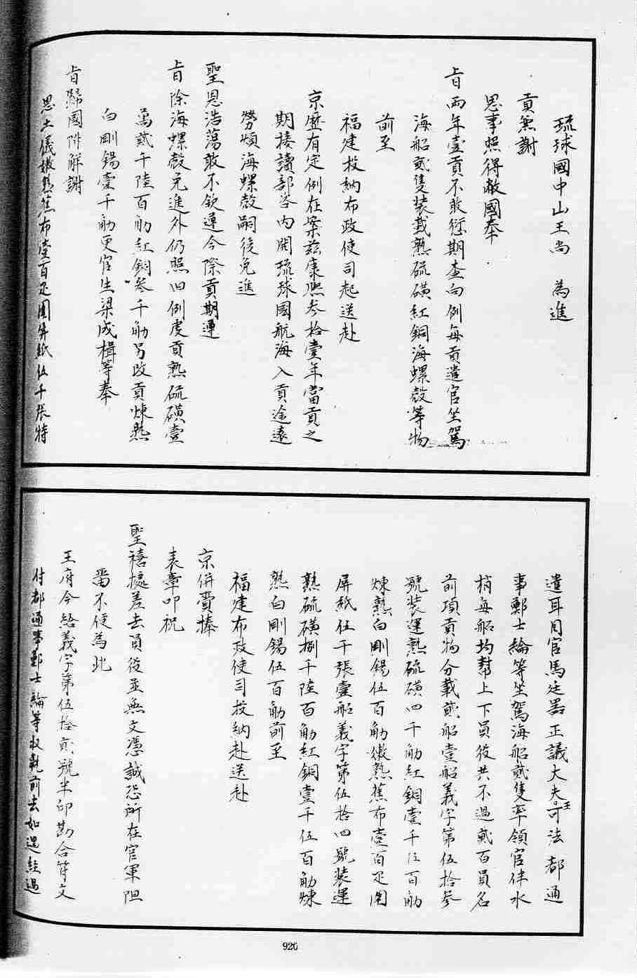
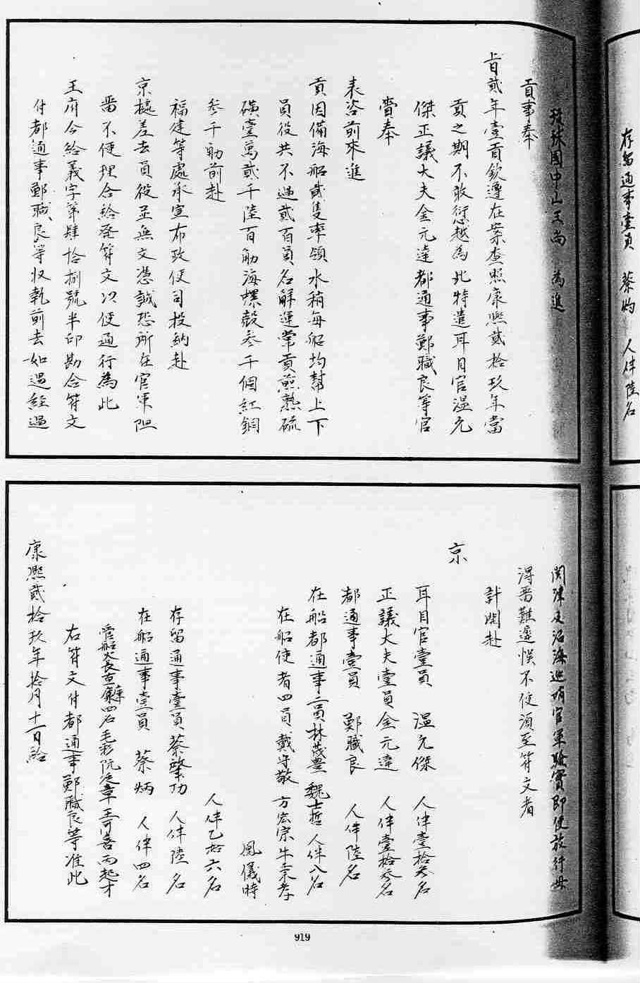
  P0913   P0914   P0915   P0916   P0917   P0918   P0919   P0920

  P0921   P0922   P0923   P0924